Skip to content Skip to sidebar Skip to footer

Widget HTML #1

How To Find Explicit Formula : So here is what i have.

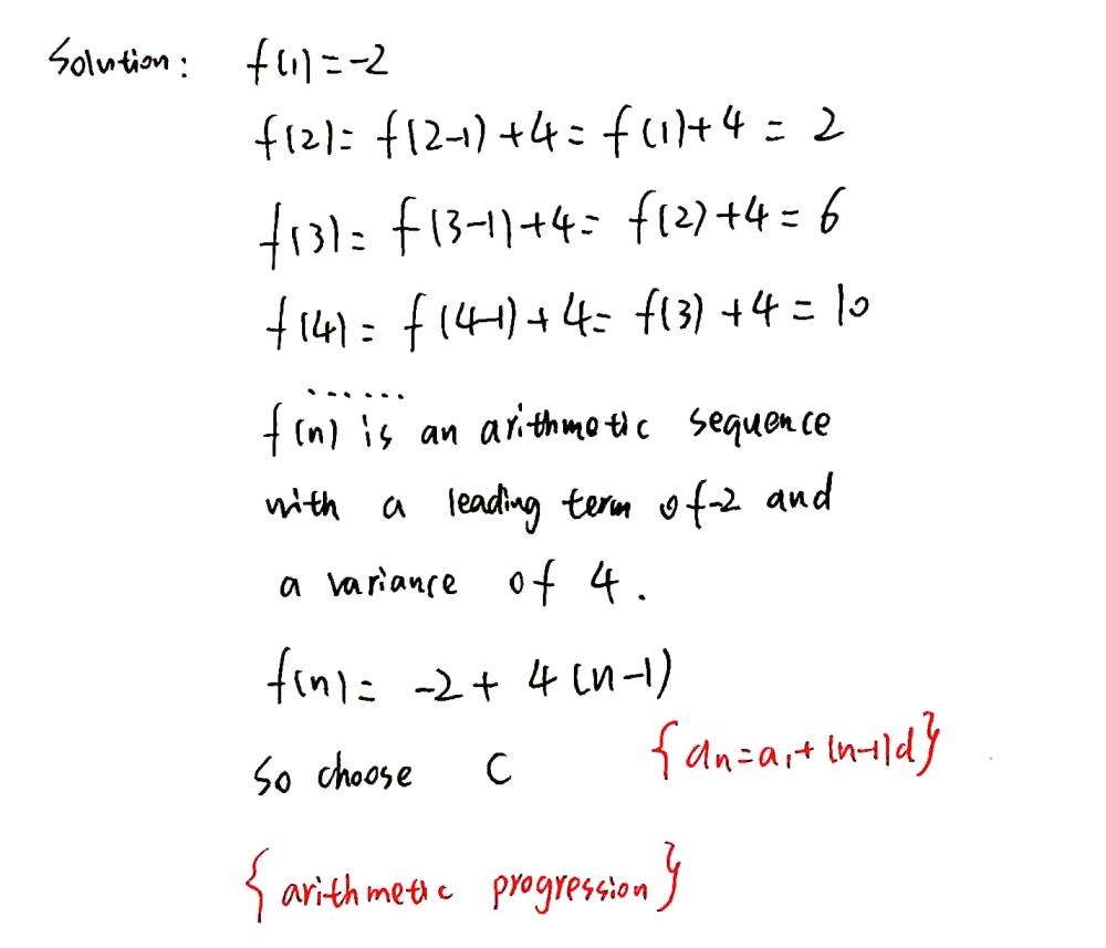
How To Find Explicit Formula : So here is what i have.. Explicit formulas are helpful if we want to find a specific term of a sequence without finding all of the previous terms. \beta β, then we'll be done. In our example, each number in the sequence is double the previous number, so we can use. Similarly, a recurrence relation is a way of defining a function by its previous behavior. We can use the formula to find the latexn\text{th}/latex term of the sequence, where latexn/latex is any positive number.

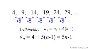
Explicit formulas are helpful if we want to find a specific term of a sequence without finding all of the previous terms. A sequence is a list of numbers/values exhibiting a defined pattern. Find the first term a_1 and the common difference d. 👉 learn how to write the explicit formula for the nth term of an arithmetic sequence. Explicit formulas for identifying terms of a sequence without knowing the preceding term.

Find An Explicit Formula For The Geometric Sequenc Gauthmath
Find An Explicit Formula For The Geometric Sequenc Gauthmath from wb-qb-sg-oss.bytededu.com
With a bit of thinking, this is quite easy. 👉 learn how to write the explicit formula for the nth term of an arithmetic sequence. I decided to analyse the equation as an integration by parts (∫ udv = uv − ∫ vdu), so. Explicit cost is calculated using the formula given below explicit costs = raw material costs + rental + labor charges + advertising costs explicit cost = $285,000 + $30,000 + $100,000 + $20,000 explicit cost = $435,000 Find an explicit formula for the sequence. My working goes as follows: Plug your numbers into the formula where x is the slope and you'll get the same result: We can use the formula to find the latexn\text{th}/latex term of the sequence, where latexn/latex is any positive number.

If f is a continuous function such that x ∫ 0f(t)dt = xe2x + x ∫ 0e − tf(t)dt for all x, find an explicit formula for f(x).

A sequence is a list of numbers/values exhibiting a defined pattern. In mathematical words, the explicit formula of an arithmetic sequence is designated to the nth term of the sequence. If you're seeing this message, it means we're having trouble loading external resources on our website. Find an explicit formula for the sequence. You will need to first subtract x 2 +1 from both sides of the equation, and then take the square root of both sides. If f is a continuous function such that x ∫ 0f(t)dt = xe2x + x ∫ 0e − tf(t)dt for all x, find an explicit formula for f(x). Remember, though, not every implicit function can be written in explicit terms. 👉 learn how to write the explicit formula for the nth term of an arithmetic sequence. These unique features make virtual nerd a viable alternative to private tutoring. My working goes as follows: A lesson on the basics of arithmetic sequences: In our example, each number in the sequence is double the previous number, so we can use. Similarly, a recurrence relation is a way of defining a function by its previous behavior.

So here is what i have. Explicit formulas for identifying terms of a sequence without knowing the preceding term. Find an explicit formula for the sequence. To find the first term, a1 a 1, use n =1 n = 1 in the appropriate formula. We can use the formula to find the latexn\text{th}/latex term of the sequence, where latexn/latex is any positive number.

Write An Explicit Formula For The Sequence 8 6 4 Chegg Com
Write An Explicit Formula For The Sequence 8 6 4 Chegg Com from d2vlcm61l7u1fs.cloudfront.net
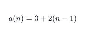
Find an explicit formula for the sequence. The second difference is equal to 2a. Turning a recursively defined sequence into an explicit formula. To find the first term, a1 a 1, use n =1 n = 1 in the appropriate formula. Let's find a_1 and d. A lesson on the basics of arithmetic sequences: Explicit cost is calculated using the formula given below explicit costs = raw material costs + rental + labor charges + advertising costs explicit cost = $285,000 + $30,000 + $100,000 + $20,000 explicit cost = $435,000 Explicit formulas for identifying terms of a sequence without knowing the preceding term.

We can use the formula to find the latexn\text{th}/latex term of the sequence, where latexn/latex is any positive number.

Find explicit formula for summation for $ p > 0$ related. To find an explicit formula if you don't already know this as the triangular numbers is to look at a pattern of products. A lesson on the basics of arithmetic sequences: You will need to first subtract x 2 +1 from both sides of the equation, and then take the square root of both sides. The second difference is equal to 2a. In mathematical words, the explicit formula of an arithmetic sequence is designated to the nth term of the sequence. With a bit of thinking, this is quite easy. Let's find a_1 and d. The constant c is equal to the n = 0 term of the sequence. To find the first term, a1 a 1, use n =1 n = 1 in the appropriate formula. Plug your numbers into the formula where x is the slope and you'll get the same result: In the easiest definition, explicit means. Similarly, a recurrence relation is a way of defining a function by its previous behavior.

To turn into explicit form. So from a 1 = 2 to a 2 = 8, we take 2 * 4 which is 8 for a 2. Which is the explicit form of the fibonacci sequence. Α β = − 1, α + β = 1. As mentioned, an explicit formula is a formula we can use to find the nth term of a sequence.

Arithmetic Sequences Explicit Recursive Formula Kate S Math Lessons
Arithmetic Sequences Explicit Recursive Formula Kate S Math Lessons from www.katesmathlessons.com
Find an explicit formula for the sequence. If you're seeing this message, it means we're having trouble loading external resources on our website. To find an explicit formula if you don't already know this as the triangular numbers is to look at a pattern of products. If f is a continuous function such that x ∫ 0f(t)dt = xe2x + x ∫ 0e − tf(t)dt for all x, find an explicit formula for f(x). A sequence is a list of numbers/values exhibiting a defined pattern. In mathematical words, the explicit formula of an arithmetic sequence is designated to the nth term of the sequence. Α β = − 1, α + β = 1. These unique features make virtual nerd a viable alternative to private tutoring.

So here is what i have.

Let's find a_1 and d. The first term is called a1, the common difference is d, and the number of terms is n. Common differences, writing recursive rules, the process that yields the rule for explicit formulas. 1 = 2 x.5 3 = 3 x 1 6 = 4 x 1.5 The first four terms in a geometric sequence are 1/3, 1, 3, and 9. In mathematical words, the explicit formula of an arithmetic sequence is designated to the nth term of the sequence. Uv]x0 = xe2x ∴ a possible substitution is u = t, v = e2t. In our example, each number in the sequence is double the previous number, so we can use. Identify the formula to which n = 2 n = 2 applies. Get b by plugging in one of the terms from the sequence. To find an explicit formula if you don't already know this as the triangular numbers is to look at a pattern of products. Create an explicit formula using the pattern of the first term multiplied by the common ratio raised to a power of one less than the term number. So here is what i have.